British Columbia Groundfish Fisheries And Their Investigations in 2000
April 2001
Prepared for the 42nd Annual Meeting of the Technical Sub-committee of the Canada-United States Groundfish Committee
May 8-11, 2001. Newport, Oregon, U.S.A.
By
R. D. Stanley
K. L. Yamanaka
Fisheries and Oceans Canada
Science Branch
Pacific Biological Station
Nanaimo, British Columbia
V9R 5K6
REVIEW OF AGENCY GROUNDFISH RESEARCH, STOCK ASSESSMENT AND MANAGEMENT
A. Agency overview
Fisheries and Oceans Canada (FOC), Science Branch, operates three facilities in the Pacific Region: the Pacific Biological Station (PBS), the Institute of Ocean Sciences (IOS) and the West Vancouver Laboratory (WVL). These facilities are located in Nanaimo, Sidney and North Vancouver, B.C., respectively. Dr. Laura Richards is currently the Acting RDS. The Division Heads in Science Branch reporting to Dr. Richards are:
|
Stock Assessment Division (STAD) |
Mr. Ted Perry (Director) |
|
Marine Environment and Habitat Science |
Dr. J. Pringle (Director) |
|
Ocean Science and Productivity |
Mr. R. Brown (Director) |
|
Aquaculture |
Dr. D. Noakes (Director) |
Groundfish research and stock assessments are conducted primarily in two sections of the Stock Assessment Division, Fish Population Dynamics (Mr. Sandy McFarlane, Head) and Assessment Methods (Mr. Jeff Fargo, Head). The Assessment Methods Section includes the Fish Ageing Lab. There are plans to merge the two groundfish sections in 2001.
Management of groundfish resources is the responsibility of the Pacific Region Groundfish Coordinator (Ms. Marilyn Joyce) within the Fisheries Management Branch in Vancouver, B.C.. Fishery Managers receive advice from STAD through the Pacific Scientific Advice Review Committee (PSARC, formerly the Pacific Stock Assessment Review Committee). The Chair of PSARC (Dr. Max Stocker) advises the Regional Management Committees on stock status and biological consequences of fisheries management actions and works in consultation with the Canadian Stock Assessment Secretariat (CSAS) in Ottawa. Research documents can be viewed on the CSAS website: http://www.pac.dfo-mpo.gc.ca/sci/psarc/ResDocs/res_docs.htm.
B. Multispecies or Ecosystem studies
An Ecosystem Approach to Fisheries Management in Hecate
(Website: http://www-sci.pac.dfo-mpo.gc.ca/sa-hecate/default.htm)
A three-year research project will be initiated in 2001 and will involve fishery scientists, oceanographers and geologists from government institutes and universities. The objectives are to expand the knowledge of the major factors affecting the productivity of commercial marine fisheries in the Hecate Strait region by investigating the relative influences of fishing, and environmental and biological processes on the population dynamics and distribution of marine fish species; and to develop new stock assessment techniques that incorporate ecosystem considerations that can be introduced into the mainstream advisory process.
The spatial and temporal distribution of the key marine populations and their habitats will be described using data from bottom trawl research surveys, commercial fisheries, physical oceanographic surveys, surficial geology, and bathymetry. New biological surveys designed to cover areas and species inaccessible to trawling will be designed and tested. Available data on diets of the main species will be analysed to determine trophic relationships and new collections will be made to fill in knowledge gaps.
Ecosystem models will be developed to investigate the relative importance of fishing, environmental forcing and biological interactions in affecting changes in the marine fish communities in the Hecate Strait area. These models will be used to integrate the information assembled in the descriptive studies described above. The ecosystem model parameters and structure will be calibrated by comparison of model predictions and time series of catch, fishing effort, and research survey indices. These calibrated models will be use to investigate alternative management policies for the Hecate Strait fisheries.
C. By species
1. Pacific cod
None
A new assessment of Pacific cod in areas 5CD (Hecate Strait, Dixon Entrance) was conducted in November 2000. Current stock biomass was determined to be extremely low and recent exploitation rates were well above target. As a result, the annual TAC was reduced from 1000t to 200t. This is expected to allow small amounts of by-catch in fisheries directed at other species. In addition, a winter closure was introduced for the entire Hecate Strait area during January 1 - April 15 in 2001 and for 2002. A new assessment of Pacific cod in areas 3CD (West Coast Vancouver Island) is planned for November 2001.
2a. Rockfish - offshore
Slope Rockfish
i. Research programs
Six biological samples of longspine thornyhead were obtained from a W. E. Ricker tanner crab survey trip in area 5AB off the central British Columbia coast between Aug 26, 2000 and Aug 30, 2000. From the six samples, 105 males and 113 females were measured. Between the sexes, mean lengths (males = 237mm, females = 231mm) and mean weights (males = 171g, females = 156g) were similar (Starr and Haigh 2000).
In 2001, the Canadian Groundfish Research and Conservation Society (CGRCS), in collaboration with Fisheries and Oceans Canada (FOC), plans to implement a bottom trawl survey (see Starr and Schwarz 2000). Briefly, the proposed survey will sample three species most suited to bottom trawl surveys: Pacific ocean perch, shortspine thornyheads, and longspine thornyheads. Depth strata identified for these three species are 101-400 m, 401-800 m, and 801-1200 m, respectively. Stratification by latitude will depend on management requirements. The first year of the survey will most likely be limited to longspine thornyheads off the west coast of Vancouver Island. Commercial vessels will be used with the assistance of FOC technical staff. Tows within each stratum will be allocated randomly. Each research tow will be standardized as much as possible (tow speed, distance and direction towed, net characteristics including cod-end mesh size, door-spread and headline height). Monitoring of the time the net is in contact with the sea floor is strongly suggested.
ii. Stock assessment
Three stock assessment documents were presented in 2000: (i) a methods paper on estimating stock biomass from tow-by-tow data, (ii) a stock assessment of longspine thornyheads off the west coast of Vancouver Island, and (iii) a feasibility study of using bottom trawl surveys for three slope groundfish species.
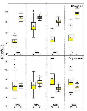
The paper "Estimating stock biomass from tow-by-tow data for Pacific Groundfish" (Schnute and Haigh 2000) describes a systematic approach to biomass estimation, complete with a bootstrap method for assessing variance. The authors have focussed on a rigorous description of the method and give straightforward examples of its application. Tows give estimates of biomass density, stratified by depth. Bathymetry, locations of fish capture, and possible other data give estimates of habitat area. Multiplying the estimated depth-stratified densities by the estimated depth-stratified areas give an estimated biomass. The authors illustrate the methods by applying them to both research and commercial data, realizing that these two sources differ in many respects (random designs vs. targeting/avoidance patterns, seasonal surveys vs. year-round fishing, tens of tows vs. thousands, etc.). Biomass estimates by quarter from commercial data (1994-2000) are presented for Pacific ocean perch, rougheye rockfish, shortspine thornyheads, longspine thornyheads, rock sole and English sole. Annual biomass estimates from research survey data (1984-2000) are presented for rock sole and English sole. In comparisons of biomass estimates for the sole species between the commercial fishery and research surveys, there is general agreement. However, biomass estimates of commercially targeted species derived from commercial data are higher than those calculated from survey data. In contrast, biomass estimates of commercially avoided species are no different between the fishery and the survey (i.e., catch rates are both random).

Fig. 1. Comparison of bootstrapped biomass distributions for rock and English soles from Hecate Strait research surveys in June (S) and commercial tows in the 2nd quarter (C). A circle in each boxplot indicates the corresponding biomass estimate.
The paper "Assessment of the Canadian longspine thornyhead (Sebastolobus altivelis) for 2000" (Starr and Haigh 2000) presents a detailed compilation and analysis of the available data for longspine thornyheads found in west coast Canadian waters. This analysis was prompted by concerns over the rapid development of a new bottom trawl fishery directed at this species since 1996. An analysis of the available length frequency data from the commercial fishery shows that these distributions have been stationary over the four years of the fishery. Relative abundance indices estimated from CPUE data using general linear modeling methods show a 16% decline in biomass over the four-year history of the fishery. Population modeling using a dynamic age-structured model fitted to the estimated relative biomass indices and the annual observations of length structure in the commercial fishery estimate that the population has declined between 10 and 30% over the four years of the fishery. These estimates are unreliable due to the lack of a validated growth function and uncertain estimates for natural mortality. This report recommends the development of an independent biomass survey for this species and further research on growth rates. The report also hypothesizes that this species may have very wide stock boundaries due to its extended pelagic larval phase (18-20 months) and the consequent opportunity for wide dispersal by prevailing ocean currents.
The paper "Feasibility of a bottom trawl survey for three slope groundfish species in Canadian waters" (Starr and Schwarz 2000) explores whether sufficiently precise biomass estimates (for Pacific ocean perch, shortspine thornyheads and longspine thornyheads) can be obtained at a reasonable cost. The objectives of such a survey are to generate comparable indices of population size over time that can be used as inputs into population assessment models for each of the three species. The feasibility analysis calculates the variability in catch per hour, for each species, from commercial catch and effort data. From this analysis, the authors determine the amount of stratification by depth and the number of tows required in each stratum to achieve a target level of precision. Of the three target species, commercial catch rates for longspine thornyheads appear to be the least variable and hence require the fewest tows to monitor the population. Shortspine thornyheads catch rates are of intermediate variability and Pacific ocean perch rates are highly variable. Pacific ocean perch have a spatial distribution distinct from the two thornyhead species and can be monitored independently of these two species. The two thornyhead species are spatially commingled, with shortspines having a more shallow distribution than the longspines. The final size and aerial extent of the survey will be dependent on the target precision level at which each species is monitored. These decisions are largely management-based or require additional stock boundary research. Several alternative options for number of strata and suggested levels of precision are presented, ranging from under 150 tows to nearly 400 tows for the entire survey, with estimated relative costs varying from CA$275,000 to nearly CA$800,000. An additional issue is that the performance of the nets while towing must be monitored electronically to ensure comparability both within and between surveys as it is likely that net efficiency will improve over time.
Shelf rockfish
i. Research Programs
The shelf rockfish program initiated a study of yellowtail rockfish (Sebastes flavidus) genetics during 2000. We collected samples from the central and southern portions of the B. C. coast and initiated analysis. Depending on funding in 2001, these data will be combined with samples provided by the Washington Department of Fish and Wildlife to provide insight into stock boundaries for yellowtail rockfish. The project should be completed in early 2002 for input into a Canadian yellowtail rockfish assessment scheduled for 2002 and a U. S. assessment scheduled for 2003.
ii. Stock assessment
Canadian shelf rockfish stock assessment activities concentrated on silvergray rockfish (S. brevispinis) in 2000 (Stanley and Kronlund 2001). The document summarized the available information on the stock status of silvergray rockfish (Sebastes brevispinis) in British Columbia waters and provided yield recommendations for the 2001/2002 fishing year. It also summarized biological and historical fishery information so that future researchers will be able to use this document as the starting point for their assessment work on silvergray rockfish.
The available biological data were analyzed to provide recommended harvests. It provided harvest recommendations for silvergray rockfish based on three alternative harvest strategies (F=0.5*M, F=0.75*M and F=1.0*M). These estimates are not directly comparable to the previous low-risk and high- risk yield options. The F=0.75*M and F=1.0*M estimates are attempts to estimate a midpoint harvest option as opposed to a "bracketing" of possible harvests.
The best estimate of M is 0.06. Data for each of four stocks, corresponding to PMFC Areas 3CD, 5AB, 5CD and 5E, were examined using catch-at-age analysis. Each stock analysis examined three general cases, where Case 1 examined the impacts of tuning with commercial CPUE and/or survey estimates; Case 2 fitted proportion-at-age data only, with variable recruitment and; Case 3, which was similar to Case 2 but forced recruitment to be constant to mimic simple catch curve analysis.
For Area 3CD, quota recommendations are based on the model tuned to a U.S. triennial survey, which surveyed part of the area. The three recommended harvest levels were 152, 228, and 296t, corresponding to three target levels of F. Previous documents provided a "low-risk" and "high-risk" range of 150-425t. Quota recommendations for the remaining stocks 5AB, 5CD and 5E are based on Case 2 model runs, which fit ageing data, allow variable recruitment but lack a survey tuning index. The recommended options for 5AB were 214, 319 and 422 t, as compared with the previous range of 350-700t. For 5CD, the recommended options were 146, 217, and 288t as compared with a previous range of 125-400t and for 5E the recommended options were 137, 204, and 270t as compared with the previous range of 175-300t.
In general, while the assessments indicated modestly rising populations in most stocks, the harvest recommendations were approximately equal to previous recommendations. In retrospect, previous recommendations appeared slightly higher than optimal. A full assessment of widow (S. entomelas) and yellowtail rockfish (S. flavidus) is planned for the 2002 PSARC cycle.
2b. Rockfish - inshore
i. Research programs.
A two-week research cruise to Bowie Seamount (53o20’ N 135o 40’ W), a proposed FOC Marine Protected Area, and Gwaii Haanas (52o03’ and 52o12’ N, 131o13’ and 131o27’ W), a Parks and Heritage Canada’s National Marine Conservation Area, was completed in August 2000. The purpose of this cruise was to develop non-intrusive in situ visual methods to estimate abundance of yelloweye rockfish. Using the DELTA submersible, habitat specific rockfish densities were estimated and will be used to extrapolate biomass over the seamount (24 – 300 m) based on multibeam sonar habitat interpretations. Visual rockfish abundance estimates will also be compared with traditional fishing indices (CPUE) collected during the cruise by a chartered commercial longline vessel. The relationship between abundance and CPUE may be used to investigate rockfish abundance based on CPUE from commercial logbook data. Oceanographic sampling was also conducted on the cruise to characterize the ocean environment at Bowie Seamount and Gwaii Haanas. The Haida Eddy, originates along the coast of the Queen Charlotte Islands (Gwaii Haanas) and moves westward, away from the coast. During the cruise, the Haida Eddy was stationary alongside Bowie Seamount. The Haida Eddy and may provide a transport mechanism for pelagic larvae derived from the coast and recruited to Bowie Seamount. Rockfish from the longline survey were sampled for size, sex, maturity, ageing structures, DNA and tissues for pathology.
Sample collections are underway for microsatellite DNA population analyses of quillback rockfish (Sebastes maliger). The new Species at Risk Act has highlighted concern over inshore rockfish in the Strait of Georgia. Baseline data collections will be established for the Strait of Georgia and other areas coastwide that have recently been closed to groundfish fishing.
The directed hook and line rockfish logbook database is expanding to include the directed dogfish and lingcod hook and line logbook data (new requirement for 2001) and work is continuing to integrate logbook, dockside monitoring and onboard observer data. Rockfish logbooks were updated for the 2001 fishery with improvements to the description of fishing gear.
ii. Stock assessment
No assessment was conducted for 2000.
iii. Management and Regulations
The hook and line rockfish fishery is managed by limited entry licensing with fishing region designations (area licensing), regional catch quotas, fishing seasons, trip limits, fishing period limits and directed species fishery options. The logbook and dockside monitoring programs are continuing. The directed 2001 rockfish hook and line fishery quotas will remain unchanged from 1999.
A combination halibut and rockfish fishing option piloted in 2000 will continue in 2001. This option allocates an annual rockfish quota under a ZN license to a halibut fishers L license, which then allows halibut fishers to retain rockfish (ZN license) above the bycatch allowance provided by their L license.
Area closures instituted for the directed hook and line rockfish fishery in 1999 now include the directed halibut, lingcod and dogfish hook and line fisheries. The Strait of Georgia (4B) is also closed to groundfish trawling. Consultation with the recreational sector coastwide and the trawl sector in areas outside the Strait of Georgia on area closures to conserve inshore rockfish is continuing.
Onboard observers were deployed on hook and line vessels in 2000. However, a target of 10% coverage was not achieved. A similar onboard observer program will continue in 2001 to evaluate incidental catch and discards in each fishery.
3. Sablefish
i. Research programs
In 2000, cost-recovered funding was allocated to cover salaries, contracts and purchases for research projects that were approved by the Sablefish Finance Committee and the Science Branch of FOC. The committee consists of industry (Canadian Sablefish Association) and FOC representatives whose mandate is to ensure that research is conducted in a cost-effective manner. Secondarily, the industry representatives have provided input regarding the direction of the proposed research.
Trap Survey
A fall longline trap charter for sampling was conducted between October 9 and November 13, 2000 aboard the chartered fishing vessel Pacific Viking, under the direction of Mr. Mike Smith and Ms. Margo Elfert. This survey has been conducted annually since 1986. The purpose of the survey was to collect biological data from discrete depths at standard index sites along the coast and to conduct tagging. These data are used to monitor changes in age, growth and abundance (based on tagging release/recoveries) and are the major inputs for annual assessments. A total of 131 sets were made, 22,908 fish were tagged, 4,042 otoliths collected for ageing and 560 tagged fish were recovered. Results will be incorporated into the next assessment. Research being conducted during 2001 includes repeating the fall trap survey.
ii. Stock assessment
A major assessment of sablefish was completed during 2000. The population modeling and tagging analysis components were conducted by Vivian Haist and Ray Hilborn under a private contract with the Canadian Sablefish Association (Haist and Hilborn 2001). The results of the assessment work were provided in the full assessment submitted to the Groundfish Sub-committee of the Pacific Scientific Advice Committee (PSARC).
The principal data source on trends in abundance was the tagging program, and, in particular, the percentage of tags returned in the year following tagging. Coastwide, this percentage remained steady at 9-11% from 1991 to 1997, rose to 19% in 1998, and decreased to 8% in 1999. Three methods, all based on the tag release-recapture data, were used to estimate stock abundance. The methods differed in the degree that biological and fishery structure was incorporated in the estimation process, and in the choice of tagging data subsets used in the analyses. Different tagging data subsets were chosen to minimize potential bias in the alternative estimation methods. All three methods indicated that B.C. sablefish decreased in abundance from the early 1990’s through 1997, followed by a substantial increase in 1999. These trends were consistent with those observed in commercial fishery CPUE and survey CPUE indices, except that the fishery and survey indices did not show significant increases in 1999. The fishery CPUE is not adjusted for the effect of escape-rings, used in the commercial fishery in 1999, and was not expected to reflect abundance trends.
Stochastic stock projections were conducted for the 2000 to 2002 period at three levels of harvest (3800 t, 4000 t, 4500 t). The expectation, at all harvest levels, is an increase in abundance for both stocks. Assuming an above average recruitment for 2000 increases the probability that the stocks will increase between 1999 and 2002. An above-average recruitment, about to become vulnerable to the fishery, is supported by survey data from Hecate Strait Inlets.
The Groundfish PSARC Subcommittee accepted the sablefish assessment subject to revision. The Subcommittee recommended that given the possibility for a distinct Southern B.C. stock and a single northern B.C./Alaska stock, that stock structure be reviewed to determine practical management units. A major assessment is planned for 2001.
4. Flatfish
i. Research programs
A groundfish trawl survey was conducted in Hecate Strait in 2000. The objective of the survey was to obtain data on the distribution of groundfish species in this region. Biological samples were collected for arrowtooth flounder, Dover sole, English sole, flathead sole, Petrale sole, rex sole, rock sole, Pacific cod, lingcod, copper rockfish, yellowtail rockfish, quillback rockfish, and canary rockfish.
ii. Stock assessment
Full assessments were prepared for rock sole and English sole stocks in Hecate Strait. Biomass and recruitment have declined steadily since the mid 1990’s. Both species are below the average level of abundance for the last thirty years. Equilibrium calculations were used to define fishing mortality reference points. Fishing reference points of F0.1, F=M and F=0.75M were used to recommend a sustainable yield range to managers. An analysis of the population dynamics of rock sole in the north Pacific was jointly prepared by Fargo (FOC) and Wilderbuer (NMFS). There were significant differences in the growth and natural mortality rates between the Bering Sea and Hecate Strait stocks. The growth rate for the Bering Sea stocks was slower than for the Hecate Strait stock. The time to maturity was longer and the natural mortality rate was lower for the Bering Sea stocks compared to the Hecate Strait stocks as well. Target fishing mortality reference points also differed among stocks. The Hecate Strait stocks sustained a higher exploitation rate than the stocks in the Bering Sea. There was strong evidence of a Ricker stock recruitment relationship for both stocks. The highest production for the Hecate Strait stocks occurred at a spawning biomass at 37% of the maximum observed while it occurred at 31% of the maximum observed for the Bering Sea stocks.
iii. Management
Flatfish in British Columbia were managed using inter-transferable vessel quotas for the 2000 fishery. Estimates of ‘kept’ catch and ‘discards’ were recorded by species and location by on-board observers in 2000. These data were analysed in 2000 to provide a measure of the change in selectivity for rock sole and English sole in Hecate Strait due to a change in codend mesh size. The change in mesh size reduced the capture of juveniles in the trawl fishery by more than 50% by weight.
5. Pacific hake
i. Research programs
Strait of Georgia
Synoptic fishing surveys of hake abundance, distribution and biology were conducted during April and August. Hake were widely distributed throughout the Strait of Georgia and associated mainland inlets. Interference from plankton appears to preclude using late spring and summer surveys to estimate abundance using 38Khz hull-mounted, split-beam sounders. While population numbers of hake appear to be stable, the population biomass is declining, a result of declining size-at-age of age 3+ hake. The reason for the decline is not clear although there are correlative links to environmental change. Cruises conducted during April and August included coincident examination of the distribution and abundance of zooplankton, which may begin to shed some light on the linkages. Surveys, which will focus on studying hake biology, are scheduled for March of 2001 and 2002.
Offshore
The monitoring of catch, estimation of species composition, and biological sampling in the Vancouver INPFC Area fishery was continued through extensive offshore observer and shore-side monitoring programs. We collected synoptic biological samples of hake throughout the Canadian zone during August 2000 using the CCGS WE RICKER.
During 2000 there were major changes in the hake distribution and availability of hake to fishers. Changes in distribution were not unexpected but the degree of change was much greater than expected. Most notably, hake were absent from traditional grounds off southern Vancouver Island with only approximately 15,000t captured of a 90,300t quota. Some hake were found off the west coast of the Queen Charlotte Islands. They were also captured and in Queen Charlotte Sound where the Joint Venture fishery operated for the last month of the season. The fish were deep and scattered making them difficult to fish by smaller Canadian catcher boats that do not have sufficient horsepower to be effective. The U.S. fishery experienced similar problems in the first half of the season but then the fish eventually appeared on the U.S. continental shelf and became vulnerable to the fishing gear.
We do not believe this is a stock collapse but rather a change in distribution resulting from changes to climate/ocean conditions. While there is some interannual variability in the timing of the arrival of hake and the absolute abundance in the Canadian zone, the rather dramatic changes in 2000 have not previously been observed during the period of intensive study of this stock by U.S. and Canadian researchers that began in 1977. Furthermore, historical landings indicate no evidence of the event as far back as 1966. During most of the 1990’s, a large proportion of the stock moved into the Canadian zone. In 1998, at the time of the last triennial survey, 50% of the 1.2 million t stock was present in the Canadian zone. In 1999, there was also high abundance in the Canadian zone. The sudden disappearance in 2000 is not consistent with a gradual fishing down of the stock.
During 2001 we are continuing to examine the factors that may have led to this change. A winter 2001 survey is planned to examine the winter spawning distribution and the triennial survey is planned for July/August 2001. Both surveys are supported by Canada and the United States. The triennial should provide an absolute estimate of the current size of the hake stock.
ii. Stock assessment
Strait of Georgia
No assessment was conducted in 2000.
Offshore
U.S. scientists conducted an update during 2000. The addition of current catch-at-age data confirmed the appropriateness of the 2001 projections, which were presented in the last major assessment conducted in 1998. American and Canadian managers adopted yield options for 2001, based on the 1998 assessment. A major Can./U.S. assessment is planned for the winter of 2001/2002 that will include information from the 2001 triennial survey.
6. Dogfish
i. Research programs
Processing and analysis of dogfish tag recoveries was continued. The purpose of this experiment is to assess long-term movements, in particular the rate of exchange between the Strait of Georgia and offshore stocks.
ii. Stock assessment
A major assessment of dogfish has not been conducted for ten years although catches have been monitored. Landings, in particular hook and line, have increased in recent years although current harvests levels are below the optimal yield in both areas.
7. Lingcod
i. Research programs
Collaborative genetics research into stock membership for lingcod throughout area 4B (Strait of Georgia) and areas 3C/D will be continued through 2001 and 2002. A genetic baseline will be developed for lingcod to be eventually applied to identifying stock membership throughout British Columbia.
Aging methodology for lingcod was re-examined. The collection of juveniles (< 3 years of age) in 2000 will be augmented by samples in 2001. Measurements for the first and second annular distances will be made and used for upgrading the ageing methodology.
ii. Stock assessment
Offshore
A stock assessment for offshore lingcod was produced for PSARC in November 2000. Ongoing biological data collection from the commercial trawl fishery will be continued throughout the year. In 2001, a catch-age analysis for 3C and for 5A/B will be presented at PSARC.
Inshore
A stock assessment for inshore lingcod was included in the document presented at PSARC in November 2000. A nest density survey was conducted in the spawning season of 2001. This will augment abundance indices from creel surveys and information from a nest density survey conducted by the Vancouver Aquarium.
8.Walleye pollock
i. Research programs
Monitoring of catches and collection of biological samples were conducted during 2000 for pollock stocks in northern Hecate Strait/Dixon Entrance, Queen Charlotte Strait, the southwest coast Vancouver Island and the Strait of Georgia.
ii. Stock assessment
No assessment work was conducted on walleye pollock during 2000.
9. Other
Pelagics – Sardine and Mackerel
i. Research programs
Monitoring of sardine and mackerel stocks continued in 2000. Surveys to examine their distribution in Canadian waters were conducted in July, August and October. Biological data were collected during the sardine fishery, all research trawling operations, and bycatch in groundfish and salmon fisheries.
ii. Stock Assessment
PSARC currently uses the annual stock abundance for sardine estimated by US agencies. The U.S. uses a "modified" integrated stock assessment model called Catch At Age Analysis of Sardine – Two Area Model (CANSAR – TAM). The modification of the model is used to account for sardine stocks migrating northward along the Pacific coast outside of the assessment area. The CANSAR – TAM incorporates egg production and spawning habits of this species. The 1999 biomass estimates for age 1+ fish and older was 1.5 million t. Historical and recent accounts suggest that sardines are particularly abundant off BC when the northern population biomass exceeds 1 million tonnes, with the actual percent migration varying from year to year in response to changes in ocean conditions, food supply and stock size (average 10%). The U.S. is currently harvesting the northern stock at a rate of 5 to 15% and precautionary management dictates that the Canadian fishery harvest the percent of this stock that migrates to BC waters at a similar rate (5 – 15% of approximately 10% of the total biomass estimate).
i. Management
In 1997, a three-year pilot fishery was implemented. Seven experimental licenses of 80t each were issued. In 1999, the individual license quota was increased to 160t. Using the 1999 US biomass estimates (1.5 million metric tonnes) estimated migration rate to British Columbia of 10%, and an extremely precautionary harvest rate (approximately 1%), a quota of 1,600 tons was issued for the BC Coast for the 2000 fishery season. This included a 200t allocation to the Pacific Coast Sardine and Mackerel Harvesters Association to help offset the costs associated with development of the fishery. In 1999 the Association’s quota was not entirely caught and resulted in an underage of 116 tons. This underage was permitted to be carried over to the next season (2000) for one year only. This translated into a year 2000 quota of 1,716 tons, equally divided among the 7 licensees.
D. Other related studies
1. Statistics and Sampling
Principal Statistics and Sampling activities in 200 included the ongoing population of the overall biological database (GFBio). This database represents about 4,000,000 specimens. Data entry activities concentrate on input of current port sampling and observer biological data and recent research cruises. When time is available, the database is backfilled with research cruise data collected before 1997. Approximately 25% of the person year dedicated to Groundfish Statistics and Sampling was committed to assisting in data uploads of the trawl observer data and providing catch data summaries.
The groundfish trawl fishery continues to be covered by 100% dockside and virtually 100% observer coverage. These observers also provided about 1,000 length/sex/age samples and 2,000 length/sex samples in 2000. Hook-and-line and sablefish trap landings have 100% dockside validation. Observer coverage in the hook-and-line fishery was initiated in 2000. The target of 10% was not quite achieved. The port sampling unit field-tested a new hand-held data logging unit in 2000. This model will replace the previous non-DOS based system. The data recording program of the new system can be adapted in the field.
APPENDIX 1. REVIEW OF CANADIAN GROUNDFISH FISHERIES
1. Commercial fisheries
All catch figures for 2000 are preliminary. Canadian domestic trawl landings of groundfish (excluding halibut) in 2000 were 43,748 t, a decrease of 61% below the 1999 catch. The main cause for the reduction in landings was the decrease in landings of Pacific hake. The major species in the trawl landings were Pacific hake (17%), Pacific ocean perch (14%), turbot (10%), yellowtail rockfish (9%), dover sole (7%), yellowmouth rockfish (5%) and widow rockfish (5%).
Canadian landings of groundfish caught by gear other than trawl in 2000 totalled 13,458t. Sablefish landings by trap and longline gear accounted for 3,403 t, 79% by trap gear and 21% by longline gear. Landings of species other than sablefish by longline, handline and troll gear accounted for 9,947t (60% dogfish, 23% rockfish and 14% lingcod). Catches incidental to other gear types, including shrimp trawl, crab traps, seines and gillnets, totalled 108t (79% rockfish and 13 % dogfish).
2. Recreational fisheries
Each year, Fisheries Branch (FOC) conducts creel surveys of the recreational angling fishery in the Strait of Georgia. Principal target species are chinook and coho salmon. In 2000, these surveys covered the months of April to September, with some additional, limited coverage during the months of October to December. Provisional estimates of 2000 catches, landings and discards, for this 9-month period were 50,890 fish for lingcod, 96,821 fish for all rockfish species, 32,348 fish for flatfish species, 47,428 fish for dogfish, 2,429 fish for halibut and 22,248 fish other species, including greenling, cabezon, herring and ratfish.
3. Joint-venture fisheries
In 2000, 34 Canadian catcher vessels delivered Pacific hake and incidental species to six processing vessels in co-operative fishing arrangements. This fishery usually takes place off the southwest coast of Vancouver Island (Area 3C) but in 2000 the fishery extended northward to include areas 5A, 5B, 5D and 5E. A total of 15,060t of Pacific hake was processed by 6 Polish vessels. The quotas and catches are outlined below:
___________________________________________________________
|
Nation |
Species |
Quota (t) |
Catch (t) |
|
Poland |
Hake |
38,594 |
15,060 |
|
|
Pollock |
incidental |
143 |
|
|
Pacific ocean perch |
incidental |
50 |
|
|
Rockfish |
incidental |
284 |
|
|
Other |
incidental |
88 |
___________________________________________________________
4. Foreign fisheries
There were no national fisheries for Pacific hake off British Columbia in 2000. However, three of the Polish processing vessels involved in the joint-venture fishery occasionally fished directly (supplemental fishing) when the Canadian catcher vessels could not supply sufficient quantities of Pacific hake. The fishing occurred in areas 3C, 3D, 5B and 5E. This supplemental catch is considered to be the national catch.
_____________________________________________________
|
Nation |
Species |
Catch (t) |
|
Poland |
|
|
|
|
Hake |
960 |
|
|
Pollock |
|
|
|
Pacific ocean perch |
2 |
|
|
Rockfish |
32 |
|
|
Other |
3 |
_____________________________________________________
APPENDIX 2. GROUNDFISH RELATED REPORTS PUBLISHED BY THE STOCK ASSESSMENT DIVISION DURING THE PERIOD JANUARY 1, 2000 TO DECEMBER 31, 2000 ARE LISTED BELOW:
Primary Publications
Beamish, R.J., G.A. McFarlane, and J.R. King. 2000. Fisheries Climatology: Understanding the Interannual and Decadal scale processes that regulate British Columbia fish populations naturally. P 94 – 139. In: Parsons, J. and P. Harrison [eds.] Fisheries Oceanography: A Science for the New Millennium. Blackwell Scientific. 347p.
Beamish, R.J., D. McCaughran, J.R. King, R.M. Sweeting, and G.A. McFarlane. 2000. Estimating the relative abundance of juvenile coho salmon in the Strait of Georgia using surface trawls. North Am. J. Fish. Mgmt. 20. p. 369–375.
Beamish, R.J. and G.A. McFarlane. 2000. Reevaluation of the interpretation of annuli from otoliths of a long-lived fish, Anaplopoma fimbria. Fisheries Res. 46 (1-3): 105–111.
Beamish, R.J., D.J. Noakes, G.A. McFarlane, W. Pinnix, R. Sweeting, and J.R. King. 2000. Trends in coho marine survival in relation to the regime concept. Fish. Oceanogr. 9: 114–119.
Fargo, J. and T. Wilderbuer. 2000. Population Dynamics of rock sole (Lepidopsetta bilineata) in the North Pacific. Journal of Sea Research 44: 123-144.
Fargo, J. and A. R. Kronlund. 2000. Variations in growth for Hecate Strait English sole (Parophrys vetulus) with implications for stock assessment. Journal of Sea Research 44: 45-61.
King, J.R., G.A. McFarlane, and R.J. Beamish. 2000. Decadal scale patterns in the relative year class success of sablefish (Anaplopoma fimbria). Fish. Oceanogr. 9: 62–70.
McFarlane, G.A., and A. Geffen. 2000. Otoliths in studies of populations (editorial). Fish. Res. 46: 189–190.
McFarlane, G.A. J.R. King and R.J. Beamish. 2000. Have there been recent changes in climate? Ask the fish. Prog. Oceanog. 47: 147–169.
Stanley, R D., R. Kieser, K. Cooke, A. M. Surry, and B. Mose. 2000. Estimation of a widow rockfish (Sebastes entomelas) shoal off British Columbia, Canada as a joint exercise between stock assessment staff and the fishing industry. Int. Jour. Mar. Sci. 57: 1035-1049.
Swain, D.P., Poirier, G.A., and Sinclair, A.F. 2000. Effect of water temperature on catchability of Atlantic cod (Gadus morhua) to the bottom-trawl survey in the southern Gulf of St Lawrence. ICES J. Mar. Sci. 57 56-68.
Swain, D.P., and Sinclair, A.F. 2000. Pelagic fishes and the cod recruitment dilemma in the Northwest Atlantic. Can. J. Fish. Aquat. Sci. 57 1321-1325.
Other Publications
Fargo, J., A. R. Kronlund and J. T. Schnute. 2000. Flatfish stock assessments for the west coast of Canada for 2000 and recommended yield options for 2001. Canadian Stock Assessment Secretariat Research Document 2000/166.
Haist, V. and R. Hilborn. 2000. Sablefish stock assessment for 2000 and recommended yield options for 2001. Can. St. Assess. Sec. Res. Doc. 2000/157 74 p.
King, J. R. and A.M. Surry. 2000. Lingcod stock assessment and recommended yield options for 2001. Can. St. Assess. Sec. Res. Doc. 2000/164. 50 p.
Schnute, J. T. and R. Haigh. Stock biomass estimates from tow-by-tow data for Pacific Groundfish. Can. Stock Assess. Sec. Res. Doc. 2000/155, 32 p.
Sinclair, A. 2000. Assessment of Pacific cod in Hecate Strait, Nov. 2000. Canadian Stock Assessment Secretariat research Document 2000/170.
Stanley, R. D. and A. R. Kronlund. 2000. Silvergrey rockfish (Sebastes brevispinis) assessments for 2000 and recommended yield options for 2001 and 2002 Canadian Stock Assessment Secretariat research Document 2000/xxx.
Starr, P.J. and R. Haigh. 2000. Assessment of the Canadian longspine thornyhead (Sebastolobus altivelis) for 2000. Can. Stock Assess. Sec. Res. Doc. 2000/154, 66 p.
Starr, P.J. and C. Schwarz. 2000. Feasibility of a bottom trawl survey for three slope groundfish species in Canadian waters. Can. Stock Assess. Sec. Res. Doc. 2000/16, 42 p.
Swain, D.P., Sinclair, A.F., Chouinard, G.A., and Drinkwater, K.F. 2000. Ecosystem effects on pre-recruit survival of cod in the southern Gulf of St. Lawrence. Canadian Stock Assessment Secretariat Research Document 2000/147.
Wyeth, M. R., R. D. Stanley, R. Kieser, and K. Cooke. 2000. Use and calibration of a quantitative acoustic system on a commercial fishing vessel. Can. Tech. Rep. Fish. Aquat. Sci. 2324.
APPENDIX 3. STOCK ASSESSMENT DIVISION GROUNDFISH STAFF IN 2000
|
W. Andrews |
Sablefish and hake |
|
K. Charles |
Fish Ageing |
|
K. Cooke |
Population hydroacoustics estimation |
|
G. Kronkite |
Acoustic development methods |
|
J. Fargo |
Stock assessment and biology, flatfish |
|
C. Fort |
Herring assessment |
|
D. Gillespie |
Fish Ageing |
|
J. Groot |
Fish Ageing |
|
R. Haigh |
Statistical analysis, exploratory data analysis |
|
L. Hamer |
Herring data base management |
|
S. Hardy |
Groundfish Port sampling |
|
G. Jewsbury |
Sablefish and hake |
|
T. Johansson |
Statistics/sampling |
|
R. Kieser |
Population hydroacoustics estimation |
|
J. King |
Lingcod assess, Sablefish climate studies |
|
B. Krishka |
Slope rockfish |
|
G. Kronkite |
Acoustic development methods |
|
R. Kronlund |
Analytical programs |
|
D. Little |
Fish Ageing |
|
G. A. McFarlane |
Marine Fish stock assessment, population dynamics and biology,fish/ocean interaction |
|
S. E. MacLellan |
Fish Ageing |
|
W. Mitton |
Sablefish, hake, dogfish and pollock |
|
T. Mulligan |
Acoustic development methods |
|
S. Nahannah |
Fish Ageing |
|
K. Rutherford |
Statistics/sampling |
|
M. Saunders |
Groundfish stock assessment and biology |
|
J. Schnute |
Multispecies stock assessment, mathematical analysis |
|
J. Schweigert |
Herring stock assessment and stock identification |
|
R. Stanley |
Shelf rockfish stock assessment biology sampling studies |
|
S. Sviatko |
Groundfish port sampling |
|
M. Surry |
Lingcod |
|
R. Tanasichuk |
Hake/herring/euphausiid interactions |
|
N. Venables |
Groundfish port sampling |
|
L. Yamanaka |
Inshore rockfish stock assessment and biology |